
Koristeći svemirsku letelicu NuSTAR i instrument NICER, međunarodni tim astronoma otkrio je novi ubrzavajući milisekundni pulsar za rendgen. Novootkriveni objekt, nazvan IGR J17591-2342, najnoviji je dodatak još uvijek kratkom popisu poznatih prirastajućih milisekundnih pulsara za rendgen. O tome se izvještava u dokumentu objavljenom 30. avgusta na serveru za pretisak arXiv.
Rentgenski pulsari pokazuju ozbiljne periodične promjene u intenzitetu X-zraka koje mogu biti kraće od djelića sekunde. Narastanje milisekundnih rendgenskih pulsara (AMXP) vrsta je rendgenskog pulsara kod koje su kratki periodi rotacije uzrokovani dugotrajnim prijenosom mase od zvijezde sa suputnicima male mase kroz akrecijski disk do polako rotirajuće neutronske zvijezde. Astronomi AMXP vide kao neku vrstu astrofizičke laboratorije koja bi mogla biti presudna za poboljšanje našeg znanja o procesima eksplozije fuzije.
Do danas je otkriven samo 21 AMXP, s periodima rotacije u rasponu od 1,7 do 9,5 milisekundi. Da bi proširila listu ovih specifičnih objekata, naučna zajednica i dalje aktivno traži takve izvore koristeći svemirske opservatorije kao što je NASA-in astrofizički teleskop (NuSTAR).
Nedavno je tim istraživača predvođen Andreom Sannom sa Univerziteta u Cagliariju u Italiji koristio NuSTAR za identifikaciju novog AMXP-a. Izvor, nazvan IGR J17591-2342, prvobitno je klasificiran kao prolazni zrak X-a i predan Međunarodnom laboratoriju za astrofizička istraživanja gama-zraka (INTEGRAL) Europske svemirske agencije radi skeniranja galaktičkog centra 10. avgusta 2018. Tim je ovaj izvor promatrao koristeći NuSTAR, koji je otkrio podatke o prirodi ovog objekta. Dodatna opažanja pulsara izvršena su pomoću Neutron Star Inner Composition Explorer (NICER) na brodu Međunarodne svemirske stanice (ISS).
“U ovom članku opisujemo koherentnu analizu vremena promatranja NuSTAR-a i NICER-a, pokazujući period rotacije pulsara i binarnih efemerida”, rekli su istraživači u svom članku.
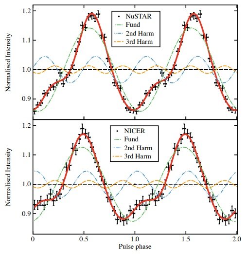
U podacima NuSTAR-a i NICER-a, tim je pronašao koherentne rendgenske impulse od oko 527,4 Hz (1,9 milisekunde) snimljene gotovo 25 dana nakon početka rafala sa udjelom impulsa od 15 posto.

Prema dokumentu, IGR J17591-2342 ima orbitalni period od oko 8,8 sati. Izračunato je da masa neutronske zvijezde iznosi oko 1,4 Sunčeve mase, a minimalna masa pratioca je najvjerovatnije 0,42 Sunčeve mase.
Uz to, astronomi su primijetili da se IGR J17591-2342 nalazi u blizini centra naše galaksije Mliječni put, oko 28.000 svjetlosnih godina od Zemlje. Utvrđeno je da procijenjena stopa nakupljanja iznosi oko 0,52 milijarde solarnih masa godišnje. IGR J17591-2342 i dalje je 22. poznati AMXP. Autori članka naglasili su da njihovo otkriće obogaćuje popis ovih objekata, neophodnih za razumijevanje kasnijih faza evolucije zvijezda.
